NEJM:口服抗凝剂依度沙班治疗癌症相关静脉血栓栓塞不劣于低分子
傻大方提示您本文标题是:《NEJM:口服抗凝剂依度沙班治疗癌症相关静脉血栓栓塞不劣于低分子量肝素》。来源是医脉通。
NEJM:口服抗凝剂依度沙班治疗癌症相关静脉血栓栓塞不劣于低分子量肝素。低分子量|血栓栓塞|静脉|沙班---
医脉通编译整理,未经授权请勿转载。
静脉血栓栓塞是癌症患者常见的并发症和致死原因,并且癌症患者发生复发性血栓形成和出血的风险的风险高于普通人群。
低分子量肝素是癌症相关静脉血栓栓塞的标准治疗方法。然而这种疗法理想的抗凝治疗持续时间存在争议,目前的共识认为,抗凝治疗应持续至少6个月。并且低分子量肝素治疗需要每天皮下注射,这限制了它的应用。
有没有口服药物可以治疗静脉血栓栓塞呢?由于口服抗凝剂的有效性和安全性尚处于研究之中,目前的指南并不推荐。
近日,顶级医学期刊NEJM针对这一问题发表了一篇研究文章,比较口服因子Xa抑制剂依托沙班与低分子量肝素联用治疗与癌症静脉血栓栓塞相关的患者的疗效。
主要方法
在这项开放标签的非劣效性试验中,研究人员将患急性有症状或偶发性静脉血栓栓塞的癌症患者随机分配到以下治疗组:接受低分子量肝素至少5日,之后每日一次口服60 mg依度沙班(依度沙班组);或接受200 IU/kg达肝素钠每日一次,皮下给药,持续1个月,之后将达肝素钠剂量变更为每日一次150 IU/kg(达肝素钠组)。
治疗持续时间6个月~12个月。该研究的主要终点为随机分组后12个月内(无论治疗持续时间如何),复发性静脉血栓栓塞或大出血构成的复合结局。
主要结果
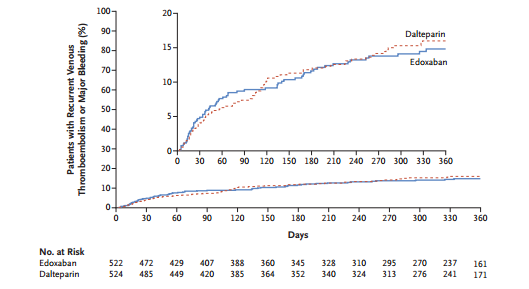
在随机分组的1050例患者中,1046例被纳入了改良意向性治疗分析。依度沙班组的522例患者中67例发生主要终点事件(12.8%),达肝素钠组524例患者中有71例(13.5%)发生了主要结局事件(风险比,0.97;95%置信区间[CI],0.70~1.36;非劣效性P=0.006;优效性P=0.87)。(图1)
低分子量|血栓栓塞|静脉|沙班---傻大方小编总结的关键词

图1 主要结局
依度沙班组和达肝素钠组分别有41例(7.9%)和59例(11.3%)患者发生了复发性静脉血栓栓塞(风险差异,-3.4个百分点;95% CI,-7.0~0.2)。依度沙班组和达肝素组分别有36例(6.9%)和21例(4.0%)患者发生大出血(风险差异,2.9个百分点,95% CI,0.1~5.6)。(图2)
低分子量|血栓栓塞|静脉|沙班---傻大方小编总结的关键词

图2 次要结局
结论
对于复发性静脉血栓栓塞或大出血构成的复合结局,口服依度沙班不劣于皮下注射达肝素钠。与达肝素钠相比,依度沙班组的复发性静脉血栓栓塞发生率较低,但大出血发生率较高。
参考文献:
Gary E. Raskob, Nick van Es, Peter Verhamme, et al. Edoxaban for the Treatment of Cancer-Associated Venous Thromboembolism. DOI: 10.1056/NEJMoa1711948.
(本网站所有内容,凡注明来源为"医脉通",版权均归医脉通所有,未经授权,任何媒体、网站或个人不得转载,否则将追究法律责任,授权转载时须注明"来源:医脉通"。本网注明来源为其他媒体的内容为转载,转载仅作观点分享,版权归原作者所有,如有侵犯版权,请及时联系我们。)
- NEJM最新综述:失血性休克
- 10 上联是子墨子演绎攻城对垒,公输口服心服。下联是什么?
- 那个职场红人,红得我心服口服!
- 向天果果仁口服、果壳泡脚有奇效,不信你试试!
- 糖尿病新药口服半乳糖试验成功,有效降低糖化血糖蛋白水平
- 丈夫为长相一般的打工妹和漂亮的我离婚,搞清真相后,我心服口服
